第二节 爱因斯坦的相对论
一、爱因斯坦(1879-1955)简介
1879年3月 出生在德国的一个犹太家庭。父亲是小商人,母亲是钢琴家。上学后,成绩平平,但爱动脑筋,12岁曾证明勾股定理。
1896年 进入苏黎士工业大学。
1902年 任瑞士伯尔尼联邦专利局的检验员。
1905年 发表了有关狭义相对论的三篇文章。
1913年 任柏林威廉皇家物理研究所所长兼柏林大学教授。
1916年 建立广义相对论。
1921年 获诺贝尔物理奖。
1933年 受德国纳粹迫害,移居美国,为普林斯顿研究所研究员。
1955年4月18日去世。
二、爱因斯坦的狭义相对论
1.爱因斯坦的两个基本假设
1905年9月,爱因斯坦26岁,在德国的《物理学杂志》发表了三篇文章,在文章中提出了两个基本假设:
狭义相对论的相对性原理
光速不变原理
将革命性的时空观引入物理学,虽然它只具有最少的两个基本假设,但它与各种实验都符合。
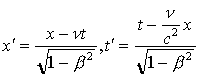
从这两个假设,他得出了洛伦兹变换:

表明了时间与空间与运动的不可分割的联系,使牛顿力学得到推广,将时空观普遍化。
2.由狭义相对论引出的观念的变化
同时性的相对性——长度收缩与运动有关——时间膨胀效应——速度变换公式——质速关系——质能关系——能量动量关系
3.狭义相对论是基础牢固,逻辑结构严紧,形式完美的物理理论,成为近代物理的支柱。
三、爱因斯坦的研究特色:
1.对经典理论的大胆怀疑
经过十年的思索,首先看破以太,并最终抛弃了以太,也就是抛弃了绝对运动。马赫的真正伟大,就在于他的坚不可摧的怀疑态度和独立性。
——爱因斯坦

相对论以最勇敢的物理论而名扬于世。
2.博闻苦思,好学进取
16岁时,爱因斯坦就思考:
“如果我以速度c追随一条光线运动”,我应当看到什么现象呢?
爱因斯坦得知迈克尔逊零结果,想:“若零结果是事实,那地球相对以太运动的想法就是错误的!”
爱因斯坦读了洛仑兹1895年的论文,认为其方程若成立,必然导致光速不变的概念。
电磁感应的现象迫使我假设(狭义)相对性的原理,必须克服的困难在于真空中光速的不变性。 ——爱因斯坦
爱因斯坦认为:“若光速不变成立,则将出现同时性的相对性。”
就这样,爱因斯坦建立了新的时空观,他认为时间与运动有关,而不是割离的,建立了四维空间。

3.追求科学理论的和谐与自然
认为科学理论应当完备,即不存在矛盾和不一致的地方,比如牛顿运动定律与事实有矛盾,就应该改革它。认为科学理论应当逻辑简单,概念和假设应当尽量地少,理论应当简洁。认为科学应当对称和谐。
爱因斯坦在总结回忆时说:“它象在爬山一样,越是往上爬,越是得到宽广的视野,并且越能显示出我们的出发点与其周围广大地域之间的出乎意外联系。”
四、狭义相对论被承认的曲折经历
1.普遍读不懂,不理解
在法国,1910年几乎没有人提到爱因斯坦。
J·J·汤姆逊1909年:“以太对我们来说,就象我们呼吸空气一样不可缺少。”
马吉1911年:“我相信,现在没有一个活着的人会断言,时间会是速度的函数。”
2.普朗克支持:“如果相对论是正确的,爱因斯坦就是20世纪的哥白尼。”并发表了爱因斯坦的文章。所以人们常说,普朗克有两大发现!
3.实验验证
1906年,考夫曼得出了否定相对论的结果,相对论受到考验!但1907年,爱因斯坦发表文章,坚信相对论是正确的。

爱因斯坦及论文
4.天才的预见,相对论成功了
1916年,爱因斯坦又完成了广义相对论,提出了三大天文效应,其中之一,引力场将使星光弯曲的现象。
1919年,英国爱丁顿,率领一支考察队,利用日全食,观察到这一现象,并拍摄了照片。相对论的成功震惊了世界!
爱因斯坦成为公众瞩目的人。
小插曲:1905年爱因斯坦写的文稿只有三页,当时可以说一文不值,1936年,却价值连城,卖了400万美元,武装了一支支援西班牙反对法西斯独裁的军队。
这几年在黑暗中焦虑的探索,热切地渴望,时而充满自信,时而精疲力竭,而最后终于看到了光明! ——爱因斯坦
五、意义
1.使牛顿的理论二百多年来第一次得到修正,牛顿力学成为相对论的一个分支。
2.使人们对质量、能量、时间、空间和速度等物理量有了一个全新的认识.
3.质能关系式
为核能的开发利用奠定了基础。
4.象征着人类在探索自然过程中登上的一座高峰。
一个以伟大的创造性观念造福于世界的人,不需要后人的赞扬,他的成就本身就已给了他一个更高的报答。 ——爱因斯坦
1955年4月18日,由于大动脉破裂,爱因斯坦去世。